前回の記事で水位センサの外観を作成しましたが、今回は水位センサの検出原理の解説とSensing Solutions EVM GUI Toolを使った容量値の計測を紹介します。
第1回 水位センサの試作方法
第2回 検出原理を解説
第3回 最適化するには?
第4回 最適化した水位センサ
水位センサの検出原理
容量値の変化を共振周波数でとらえている
静電容量式センサ(FDC2214)を使用した水位変化の検出原理は、任意のコンデンサとコイルをLC共振させ、センサ部(金属部)で生じた誘電率の変化に伴う容量値の変化を共振周波数の変化でとらえるという仕組みです。
このため、FDC2214EVMの評価ボードはLC共振回路用のコンデンサとコイルが実装されています。

水位を変えて共振周波数の変化を確認
水位が変化すると共振周波数が変化するので、実際にセンサ部(金属部)を接続したCH0の差動信号をオシロスコープで確認してみます。
※オシロスコープ観測時はSensing Solutions EVM GUI Toolを使用して評価ボードを動作させています。

オシロスコープで観測すると正弦波の半波のような波形が確認できました。
水位0cmの時は約4.4MHz、水位19cmの時は約2.9MHzでそれぞれ発振していました。水位が変化すると共振周波数が変化することが確認できます。
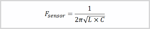
LC共振なので、式で表すと下記の様になります。

水位が上昇するとセンサの容量値が増加するので、共振周波数は下がることになり観測結果と一致します。
Sensing Solutions EVM GUI Toolを使って容量値を計測
水位センサの検出原理を理解してもらったところで、次にTexas Instruments社から無償で提供されているGUI(Sensing Solutions EVM GUI Tool)を使った測定を行います。
この作業は後で行う最適化に必要な計測になるので、設定値はデフォルトの状態で測定します。
※FDC2214EVMの評価ボードを使用するには、Sensing Solutions EVM GUI Toolが必要です。
GUIツールはこちらから入手できます。また、GUIを入手するためにはmyTIへのご登録が必要になります。
1cmごとに容量値を計測
設定値はデフォルトのままで、容量値を計測します。

CH0の容量値が青色のDATA0_pFで、CH1の容量値がオレンジ色のDATA1_pFになります。今回はCH0にしかセンサを接続していないため、青色のDATA_0pFの波形に注目します。

GUI上で容量値のデータが確認出来たら、水道水を1cm刻みでアクリルケースに給水し、その都度、Averageに表示されているDATA0_pFの容量値を計測します。
冒頭で、静電容量式センサ(FDC2214)は共振周波数の変化でとらえていると書いているのにGUIでは容量値が表示されていることに疑問が残りませんか?
答えは簡単です。共振周波数の式の中で、コイルLの値は一定なので、GUIでは共振周波数Fsensorの変化をすべて容量値Cの変化と見なしています。このため、Fsensorを求める式から容量値を求める式に変換し、その式から求めた容量値を表示しています。
水位と容量値の関係をプロット
水位と容量値の関係を測定した結果、下のグラフのようになりました。容量値はアクリルケースに水が入っていない時、つまり水位が0cmの時に63pFとなり、水位が19cmの時に150pFになりました。水位変化に伴う容量値の変化量は87pFです。水位が低い時(0cm~4cm)に容量値の変化量は小さくなっていますが、これはセンサにはカバーフィルム部分があり、センサの下端は水位1cmの位置に設置していることが原因です。

以上で、水位センサの検出原理の解説とGUIを使った容量値の計測は終了です。次回、第3回 最適化するには? では最適化について説明します。
お問い合わせはこちら
本記事でご紹介したFDC2214EVMやTI社の各種センサに関する詳細な情報をお求めの方は、是非こちらからお問い合わせください。
※本掲載記事は当時の製品ステータスを元に執筆されております。製品をご検討の際は、最新の情報をメーカー若しくは代理店へご確認の上進めて頂けますようお願い申し上げます。
関連情報
静電容量式の水位センサを作ろう
第1回 水位センサの試作方法
第2回 検出原理を解説
第3回 最適化するには?
第4回 最適化した水位センサ