『スイッチング方式レギュレータ~その1』で述べたように、ラプラス変換や高速フーリエ変換(FFT)解析により数値解を得ることができますが、今回は「解析的」あるいは「代数的」に解くことを考えます。
電流の方程式
図1(a) の降圧型レギュレータ基本回路において、図1(b) の S1 が On、S2 が Off のチャージする期間(On)と、その逆の 図1(c) のディスチャージ期間(Off)において、i1 と i2 の 2つの電流に対する方程式を立て、図2 にその近似式を示します。


i1 と i2 に対して、On と Off とを繰り返して、電流の過渡応答を求めることができます。この結果は、『スイッチング方式レギュレータ~その1』に示したとおりです。
定常状態
図3 は、十分に定常状態になった時点の i1 と i2 の電流をそれぞれ i1(0)、i2(0) とし、この初期値に対して 図2 の式により、On と Off の状態の i1 と i2 とを求めた結果です。
定常状態なので、i1(Off) は i1(0) に等しく、i2(Off) は i2(0) に等しくなります。

図4 は 図2 から求めた連立方程式で、図5 はその解です。


昇圧型レギュレータ
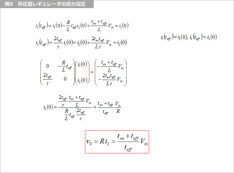
昇圧型レギュレータにおいても計算の詳細は省略しますが、同様の解析を行うことによって、図6 の解を得ます。

SPICE や過渡現象を解く、すなわち数値解によって設計された回路を解析することはできますが、自分で設計するには代数的に解く必要があります。
最近は便利なツールが提供されているので、解析は簡単にできるようになりましたが、たまには泥臭く、代数的に回路を解いてみるのもよいのかもしれません。
碓井有三のスペシャリストコラムとは?
基礎の基礎といったレベルから入って、いまさら聞けないようなテーマや初心者向けのテーマ、さらには少し高級なレベルまでを含め、できる限り分かりやすく噛み砕いて述べている連載コラムです。
もしかしたら、他にも気になるテーマがあるかも知れませんよ!